mjm美加墨世界杯官网(FIFA World Cup)-23rd FIFA World Cup
公司主站
公司首页
关于我们
mjm世界杯官网简介
公司领导
机构设置
公司位置
党建工作
党务工作
工会工作
学历继续教育
招生管理
教务与学籍
校外教学点
精品课程
非学历继续教育
培训简介
培训通知
培训动态
精品培训项目
名师风采
培训管理系统
证书查询
政策文件
上级文件
集团相关制度文件
下载中心
公司首页
shou ye
通知公告
公司首页
>>
通知公告
>> 正文
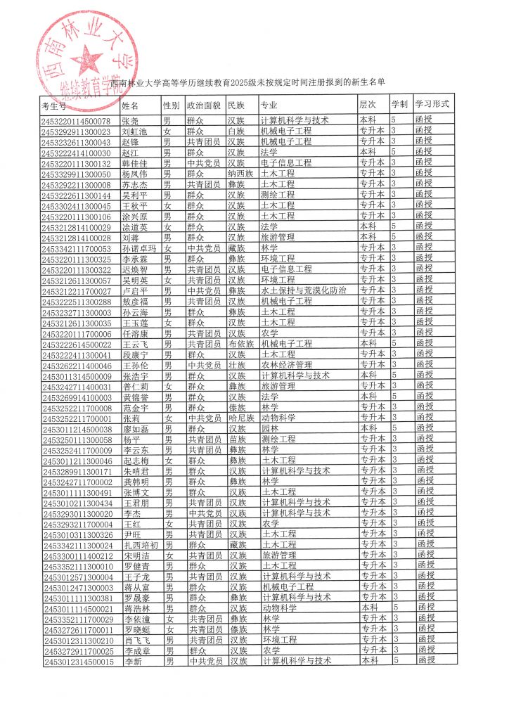
关于拟对2025级未报到新生不予注册学籍的温馨提示
发布日期:2025-03-27 作者: 来源:mjm世界杯官网 点击:
上一篇:
2026届毕业生毕业照片采集的具体要求
下一篇:
mjm世界杯官网关于进一步规范校外教学点收费管理的通知